2024年闲鱼最新玩法,保姆级教程
用时 20 天,写了 10000+字,本文将刷新你对闲鱼无货源的认知。闲鱼无货源运营全攻略,看这一篇就够了!可以省去你 99%的时间寻找答案!
![图片[1]-2024年闲鱼最新玩法,保姆级教程-塔拉科技社](https://osscdn.talakj.cn/wp-content/uploads/2024/08/20240802231127536.png)
1.趋势
随着国民购买力的提升以及消费观念的转变,越来越多人将闲置物品放到电商平台上售卖,而在国内闲置经济崛起的背景下,二手电商被视为电商新蓝海。
目前闲鱼用户达到五亿,日活达到4000万,交易额已破2000亿;
背靠阿里巴巴强大背书,同时有淘宝导流,闲鱼自身又是全网流量最大的二手交易平台;
![图片[2]-2024年闲鱼最新玩法,保姆级教程-塔拉科技社](https://osscdn.talakj.cn/wp-content/uploads/2024/08/20240802231133163.png)
2.简单方便
没有地域限制,随时随地通过手机就能操作;
不需要什么投入成本, 不刷单不退款,更不需要购买软件或杂七杂八的费用,一台手机就能操作整个流程;
不需要进货囤货,无货源操作就是有人在闲鱼买了你上架的产品,直接找上家发货即可;
客户售前咨询产品问题,复制发给上家,上家回复你,你复制话术回复买家;
3.副业对比优势明显
同其他电商对比:其运营成本低,上手速度快;
同自媒体行业对比:不需要写作能力,能直接变现;
同短视频行业对比:不需要文案能力,拍摄能力,剪辑能力;
闲鱼的优势在于入门,大学生 宝妈赚点小钱,一天转个一两百还是非常简单的;如果想靠闲鱼翻身,真的不难难度不是一般的小
平心而论,小白做闲鱼相比较做其他电商行业,自媒体行业,短视频行业等各种兼职的成功率要高的太多太多
4.流量分配公平
新号上品当天就能出单, 好处是能快速提高做项目的自信心;
坏处是当账户交流流水达到50w,自然流量降低,更多的是复购老客户;
1.设备账号准备
做闲鱼是不用缴纳押金的,自用手机即可操作, 淘宝 拼多多 开店个人店铺1000押金,什么手机都行
下载闲鱼APP,使用淘宝或支付宝登录;
![图片[3]-2024年闲鱼最新玩法,保姆级教程-塔拉科技社](https://osscdn.talakj.cn/wp-content/uploads/2024/08/20240802231135517.png)
首次使用闲鱼是需要把实名认证和芝麻信用分授权
步骤:打开闲鱼-我的-头像-头像下方的实名认证和芝麻信用分授权
![图片[4]-2024年闲鱼最新玩法,保姆级教程-塔拉科技社](https://osscdn.talakj.cn/wp-content/uploads/2024/08/20240802231144725.png)
认证成功后点击编辑资料
信息完成度要达到85%,越详细越好;
个人简介也很重要,
这是让买家了解我们的一个窗口,
不会写的话,去看看攻略;
![图片[5]-2024年闲鱼最新玩法,保姆级教程-塔拉科技社](https://osscdn.talakj.cn/wp-content/uploads/2024/08/20240802231145338.png)
一个人的身份信息可以注册绑定三个支付宝,
闲鱼账户可以通过支付宝账户登录。
(一个手机号就可以注册三个支付宝,只需要手机号注册成功后换绑邮箱即可;)三个闲鱼号
不会操作的话,百度搜索:换绑支付宝邮箱教程
每天坚持签到,领取闲鱼币,做任务,领取小黄鱼;
![图片[6]-2024年闲鱼最新玩法,保姆级教程-塔拉科技社](https://osscdn.talakj.cn/wp-content/uploads/2024/08/20240802231149184.png)
每天签到不仅能养号,提升账号权重;
得打的闲鱼币还能助推商品曝光,增加流量;
现在闲鱼有个极速卖 (闲鱼币推广),
类似淘宝直通车一样的功能,但是不烧钱,只烧闲鱼币;
在操作中,建议一机,一卡,一号;
不要一机多号,一部手机虽然能切换多个闲鱼号登陆,但是非常不建议,如果出现降权,封号等问题就会产生连锁反应;
我们当时一次封了二十多个号,就是因为偷懒,连的wifi网络太密集导致的; 一机多号 无线
所以在操作过程中,建议使用手机4G流量;
后续放大操作的话,建议用阿里小宝卡或者钉钉小宝卡;
网 上直接申请,到时业务员上门办理,单个人可以各办理一张,单月 19 元,闲鱼免流,比较划算,完了再可以办理副卡。
简单来说就是去模拟一个正常用户,而不是营销号,每天适当搜一些你接下来要卖的产品,给他们点超赞,留言,碰到自己认可的同行卖家点点关注。
再去他们的主页去浏览其他商品,看到他们发布的商品有想要数比较高的,去当做客户和他聊聊;
产品的详情数据,发货速度,发货地址,总之换位思考站在买家的角度去咨询;
这样不仅能提升我们账号的活跃度,还能套出同行的成交话术,多找几个同行聊聊,把他们的话术都套出来,做好总结,这样我们的话术就出来了!
养号的作用是增加账号权重,实名认证和授权芝麻信用分是增加买家信任度;账号权重高流量越大
不过每个新号在前三个月都有流量扶持,
我们有一些号在不授权芝麻信用分的情况下,
新号三天也能卖出去几十单;养号三天之后再发布商品
![图片[7]-2024年闲鱼最新玩法,保姆级教程-塔拉科技社](https://osscdn.talakj.cn/wp-content/uploads/2024/08/20240802231154362.png)
闲鱼的重点在于选品,卖什么!
养号能做的是锦上添花而做不到雪中送炭,
如果做闲鱼一直流量不好,大概率是品选错了;
1.闲鱼无货源原理
借助闲鱼平台讲用户需要的东西出售给他们,咱们从更低成本商户那里发给他们,中间获取一定收益;
我们没有货源,需通过在拼多多,淘特,京喜,阿里巴巴等拿货平台去找到合适的货源一件代发给用户。
步骤:选商品-选上家-编辑上架-优化产品-售前解答-出单联系上家-订单处理。
很多人都在怀疑,这样操作能出单吗?客户又不是傻子,买东西直接去拼多多不就好了吗?
对于这点原因有很多,从以下三点来分析:
(1).从市场看
闲鱼一年能有几千亿的交易额,都说做闲鱼泛滥了,那么这几千亿的交易额是从哪里来的?有的 相信我有的
5元,一天15单,利润 一月单号几千块钱2000+的
![图片[8]-2024年闲鱼最新玩法,保姆级教程-塔拉科技社](https://osscdn.talakj.cn/wp-content/uploads/2024/08/20240802231157682.png)
(2).从电商行业看
某宝,某东,某猫随便搜你能想到的商品,把销量高的商品图片保存,去拼多多通过图片搜索,你会发现便宜的更多!
![图片[9]-2024年闲鱼最新玩法,保姆级教程-塔拉科技社](https://osscdn.talakj.cn/wp-content/uploads/2024/08/20240802231206596.png)
(3).从视频直播带货上看
随便点开一个带货主播间,任选一个商品再去多多搜索,还是拼多多便宜,那么为什么主播带货还这么火?
(4).从同平台看
在拼多多你随便搜一款商品,
你会发现就算是同平台同样的商品,不同店铺价格差距还是很大;
而且就算有价格上的差距,各自的销量都还不错,难道这些都是厂家?
![图片[10]-2024年闲鱼最新玩法,保姆级教程-塔拉科技社](https://osscdn.talakj.cn/wp-content/uploads/2024/08/20240802231215252.png)
无货源就是找到低价商品进行倒卖,
闲鱼无货源不过是无货源大家庭的一份子,还有淘宝无货源,京东无货源,拼多多无货源,抖音小店无货源;
是的,你没看错,拼多多无货源就是在拼多多找合适的商品,然后再加价到拼多多去卖;
如上图,货源源头厂家可能就两三家,
但是你去拼多多搜索,能看到几十上百家店铺在卖这款商品;
价格从来不是决定市场的关键;
闲鱼无货源赚钱是肯定的,
前提是用对方法,选对商品,外加个人的努力;
用浅尝辄止的态度去做事,大概率是什么项目都做不起来的!
日用百货类:
各类服饰,鞋帽,床上四件套,收纳箱柜,
手机数码类:
各品牌手机,耳机,电脑,音箱,鼠标键盘;
家用电器类:
各种厨卫家电,插排,电视,加湿器,扫地机,挂烫机;
办公家具类:
各类办公座椅,家用沙发,床,柜子;
户外运动类:
冲锋包,冲锋衣裤,帐篷,睡袋,防潮垫。应急药品包;
宠物用品类:
宠物喂食器,喂水器,项圈,猫爬架,逗猫棒,狗咬绳;
①.拼多多
在拼多多分类页面,点开左边商品类目,
有一个本周热门通过本周热门,我们去闲鱼搜同款
![图片[11]-2024年闲鱼最新玩法,保姆级教程-塔拉科技社](https://osscdn.talakj.cn/wp-content/uploads/2024/08/20240802231219727.png)
车品本周热门的商品有六种,以行车记录仪和车载冷暖箱举例:
市场不错,都有达到两千多的用户咨询
![图片[12]-2024年闲鱼最新玩法,保姆级教程-塔拉科技社](https://osscdn.talakj.cn/wp-content/uploads/2024/08/20240802231223888.png)
![图片[13]-2024年闲鱼最新玩法,保姆级教程-塔拉科技社](https://osscdn.talakj.cn/wp-content/uploads/2024/08/20240802231234177.png)
行车记录仪相比车载冷暖箱卖的更多一些,
拼多多这个本周热卖产品数据是每周都会更新的,通过这种方式不用担心找到好品卖!
![图片[14]-2024年闲鱼最新玩法,保姆级教程-塔拉科技社](https://osscdn.talakj.cn/wp-content/uploads/2024/08/20240802231243750.png)
![图片[15]-2024年闲鱼最新玩法,保姆级教程-塔拉科技社](https://osscdn.talakj.cn/wp-content/uploads/2024/08/20240802231247836.png)
②.蝉妈妈
蝉妈妈是抖音短视频电商的数据分析服务平台,
通过蝉妈妈我们可以查看抖音热销产品榜单,(没注册过的用户免费赠送七天会员)
网址:https://www.chanmama.com/tikGoodsRank/sale?category
![图片[16]-2024年闲鱼最新玩法,保姆级教程-塔拉科技社](https://osscdn.talakj.cn/wp-content/uploads/2024/08/20240802231255386.png)
这种方法很容易找到一些冷门蓝海商品,
例如我现在能看到的:
电脑显示器,电脑连接线,鼠标,键盘,电脑主机,固态硬盘,音箱,电脑电源线,电插座,鼠标垫,办公手机,办公椅,办公桌,空调,
办公椅最下面的小滑轮,提供网络的网线等……
在查找这些关键词时,系统搜索框还会为我们推荐相关关键词;
![图片[17]-2024年闲鱼最新玩法,保姆级教程-塔拉科技社](https://osscdn.talakj.cn/wp-content/uploads/2024/08/20240802231259617.png)
万向轮平时听也没听说过的产品,在闲鱼几百上千的想要;
![图片[18]-2024年闲鱼最新玩法,保姆级教程-塔拉科技社](https://osscdn.talakj.cn/wp-content/uploads/2024/08/20240802231306999.png)
![图片[19]-2024年闲鱼最新玩法,保姆级教程-塔拉科技社](https://osscdn.talakj.cn/wp-content/uploads/2024/08/20240802231318137.png)
平时生活中善于观察,能找到很多类似的蓝海商品;
只要抓住一个品,认真去操作就可以了;
通过这种方式,只要选好了一件商品,那么剩下的商品都能快速挖掘到;
拿行车记录仪举例:
搜索行车记录仪,点一个我想要比较多的,然后向下滑,有一个猜你喜欢,系统会给你推荐一些在这个产品领域卖的比较好的卖家;
![图片[20]-2024年闲鱼最新玩法,保姆级教程-塔拉科技社](https://osscdn.talakj.cn/wp-content/uploads/2024/08/20240802231329847.png)
自己定一个标准,比如我想要在两百以上的,然后把这些超过两百以上我想要的商家挨个关注,
去自己闲鱼号里,挨个点击他们的头像,查看他们的动态,
![图片[21]-2024年闲鱼最新玩法,保姆级教程-塔拉科技社](https://osscdn.talakj.cn/wp-content/uploads/2024/08/20240802231341952.png)
发现他除了行车记录仪,还有汽车抛光蜡,自己做个表格用来记录,例如这样
![图片[22]-2024年闲鱼最新玩法,保姆级教程-塔拉科技社](https://osscdn.talakj.cn/wp-content/uploads/2024/08/20240802231350658.png)
然后我们重复上面的操作,搜索汽车抛光蜡,点一个我想要比较多的,然后向下滑,找到猜你喜欢,把抛光蜡的卖家再关注一波,再去查看他们的最近动态
![图片[23]-2024年闲鱼最新玩法,保姆级教程-塔拉科技社](https://osscdn.talakj.cn/wp-content/uploads/2024/08/20240802231352288.png)
然后在表格中,继续做好统计,
如图
![图片[24]-2024年闲鱼最新玩法,保姆级教程-塔拉科技社](https://osscdn.talakj.cn/wp-content/uploads/2024/08/20240802231403917.png)
这样我们就能通过同行卖出的商品,找到用不完的爆品
如行车记录仪,搜完汽车抛光蜡还能继续搜索:
汽车钥匙包,行车记录仪读卡器,汽修工具扳手套装,汽车脚垫……
然后通过后续搜索爆品词,还能再延伸出新的爆品词;
在选品时,表格一定要做好,这样再起新号,扩大时就不会忙手忙脚的;
通过节日选品,就是抓天时,
卖的都是有时效性的爆款商品,这类商品在节日到来前筹备好,上架相关商品,坐等爆单即可
做的一个表格,供大家参考:
![图片[25]-2024年闲鱼最新玩法,保姆级教程-塔拉科技社](https://osscdn.talakj.cn/wp-content/uploads/2024/08/20240802231404307.png)
![图片[26]-2024年闲鱼最新玩法,保姆级教程-塔拉科技社](https://osscdn.talakj.cn/wp-content/uploads/2024/08/20240802231410960.png)
![图片[27]-2024年闲鱼最新玩法,保姆级教程-塔拉科技社](https://osscdn.talakj.cn/wp-content/uploads/2024/08/20240802231417204.png)
以上五种方式稍微懂一点,再去做闲鱼就是轻而易举!
选品的重点是迎合市场,验证所选商品是否是爆品,也是通过闲鱼同行的产品数据来进行判断!
通过三点来验证:曝光-转化-市场
![图片[28]-2024年闲鱼最新玩法,保姆级教程-塔拉科技社](https://osscdn.talakj.cn/wp-content/uploads/2024/08/20240802231419491.png)
拿电饭煲为例,
(1)曝光:我想要的数量;
我想要数量,代表了有多少用户,通过该商品咨询了卖家,有几千人咨询了这个产品,说明这个产品被很多人需要;
一般想要数越多,该商品流量越好;
(2)转化:同行动态近期该商品卖出多少
通过观察近期电饭煲的转化都不错
![图片[29]-2024年闲鱼最新玩法,保姆级教程-塔拉科技社](https://osscdn.talakj.cn/wp-content/uploads/2024/08/20240802231421433.png)
除了看卖出多少件,还可以通过评价查看,
![图片[30]-2024年闲鱼最新玩法,保姆级教程-塔拉科技社](https://osscdn.talakj.cn/wp-content/uploads/2024/08/20240802231424333.png)
例如这种:可以依据卖出商品:评价商品=10:1,然后判断这个商品当天卖出的件数,
向上面这个12号出了两个评价,差不多卖出去了20件电饭煲;
(3)市场:曝光优质,转化高的同行卖家多不多
通过查看多家卖家的想要数,最近动态卖出量分析,这个电饭煲的市场很大,是一个大爆品;
![图片[31]-2024年闲鱼最新玩法,保姆级教程-塔拉科技社](https://osscdn.talakj.cn/wp-content/uploads/2024/08/20240802231431187.png)
在确定了所要上架的商品,接下来我们就只需要选择货源渠道,确定上家供货价格,算出中间利润,没问题就可以直接上架了!
阿里巴巴:www.1688.com 各类货源都有,龙头大哥;
世界工厂:https://www.gongchang.com 工业用品比较多,还有原材料;
中国供应商:https://cn.china.cn/ 和1688类似,整体货源更倾向五金,机械设备;
义乌购:http://www.yiwugo.com 小商品批发龙头平台;
货源之家:https://www.huoyuanzhijia.com 服饰鞋包居多;
网商园:https://gz.17zwd.com/ 男装货源龙头
包牛牛:http://www.bao66.cn 箱包批发,包包特别便宜;
工品汇:https://www.vipmro.net/?flag=64093127 主打五金
挚爱母婴网:https://www.babyzhiai.net/ 母婴类进口品牌
爱买卖:http://style.2mm.cn/ 女鞋批发
58食品网:http://www.58food.com/各类食品,饮料类居多
开山网:http://www.k3.cn/web/welcome专做鞋子,货源便宜
货捕头:https://www.hznzcn.com/ 女装批发,小龙头
拼多多,在拼多多拿货,快递面单,找上家无痕发货,百分之90的
收货人 手机号填写我们的 我们是全平台操作,通过拼多多发货 快点费便宜,99的客户没什么问题。
以上这些供货网站,建议老玩家使用,长期做闲鱼的话,肯定是自己发货利润更高;
新手小白使用以下几种平台:拼多多-淘特-京喜
对于新手来说,操作任何一个项目,前期重点都是简单,简单,再简单!
闲鱼更是如此,在没任何投入的情况下,沉没成本低,如果前期准备工作太多,很容易自我劝退;
这三个APP的货源算是非常低的,很容易找到合适的上家;
好处有以下几点:
1.售前轻松
售前遇到产品问题不会解答,直接复制买家咨询内容;通过拼多多找到上家,
由上家客服帮我们解答,我们再把上家客服回复我们的话术
2.发货及时
拼多多有一个规则,48小时内发货,如果48小时内没发货,会补偿我们一个三元无门槛平台优惠券;
3.售后不操心
有关售后问题,我们和售前一样,就当个传声筒,如果有退货情况,按照上家客服的指导操作;
如文章前面讲的,拼多多也有无货源操作,可能一个品有几十家店铺在卖,而有货源的厂家就两三个;
单是看销量是看不出什么的,但凡是做拼多多的,改十万+销量都是必备技能;
首先我们在闲鱼挑选好的商品,保存商品主图到手机,
然后打开拼多多点击右上角相机图片
![图片[32]-2024年闲鱼最新玩法,保姆级教程-塔拉科技社](https://osscdn.talakj.cn/wp-content/uploads/2024/08/20240802231435723.png)
选择你保存的图片,(我以行车记录仪做演示)
![图片[33]-2024年闲鱼最新玩法,保姆级教程-塔拉科技社](https://osscdn.talakj.cn/wp-content/uploads/2024/08/20240802231444133.png)
这款产品在闲鱼有八百多想要,
双镜头【加强版1080p】32g,闲鱼卖120元,拼多多卖105.8元,差价14.2元;
而有的拼多多商家价格达到了172.5元,两家拼多多店铺同款产品价格相差了66.7元
![图片[34]-2024年闲鱼最新玩法,保姆级教程-塔拉科技社](https://osscdn.talakj.cn/wp-content/uploads/2024/08/20240802231453777.png)
选对上家才能确保我们的利润最大化
上家的筛选方法是:
看销量与评价对比是否能达到10:1,
如果是十万+销量,那么评价最少一万;
如果有多个上家的销量数和评价数能达到10:1,就看具体版本价格哪个更低;
价格差不多的情况下,看哪家支持退货包运费;
按照这个流程走,就能找到合适的上家了!
算是这篇文章最干的一部分技巧
这个方法适用于所有做无货源电商的朋友;
确定好经营的种类后,找出你这个商品种类中前五的商品,
还是以汽车记录仪为例
![图片[35]-2024年闲鱼最新玩法,保姆级教程-塔拉科技社](https://osscdn.talakj.cn/wp-content/uploads/2024/08/20240802231500415.png)
这款行车记录仪是整个类目,流量最大的;
我们选择上架这个商品前,先去沧州这个同行那里使用小号购买这款产品;
![图片[36]-2024年闲鱼最新玩法,保姆级教程-塔拉科技社](https://osscdn.talakj.cn/wp-content/uploads/2024/08/20240802231511579.png)
等收到快递,保存好快递面单,
在快递单上都会有货源商家的联系方式;
(一般都是源头上家的联系方式和地址)
微信搜索手机号,加上家沟通代理他家商品或咨询他们家在网上开的有什么店铺;
通过这种方式,我们能直接找到货源源头,
毕竟从一手货源这里拿货,我们的利润空间更大一些;
另一方面我们也能通过拿到手的产品,确定产品质量优劣,
在售前聊天中,客户需要产品详情图,我们也能第一时间拍给他们;
同时一些冷门商品,在全网都不好找到价格优异的货源,
而使用这种方式去挖上家,可以说闲鱼百分九十以上的实体产品我们都能经营!
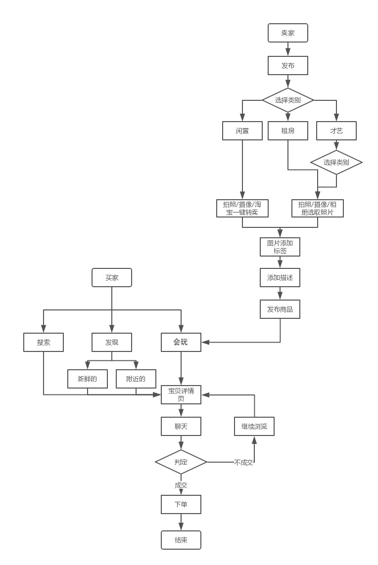
实操前,先了解闲鱼商品交易的过程
![图片[37]-2024年闲鱼最新玩法,保姆级教程-塔拉科技社](https://osscdn.talakj.cn/wp-content/uploads/2024/08/20240802231514550.png)
![图片[38]-2024年闲鱼最新玩法,保姆级教程-塔拉科技社](https://osscdn.talakj.cn/wp-content/uploads/2024/08/20240802231517953.png)
买家接触到我们发布商品的主要端口,在于闲鱼首页上方的搜索;
(1).标题构成=产品名称+相关关键词+卖点+用户痛点
(2).参考同行
找到3-5个优秀同行,看他们是如何编辑标题的将他们的标题复制下来经过自己后期的修改和优化编辑出适合我们自己的标题;
千万不要原封不动搬运, 同质化原因,流量会慢慢少
总结:同行永远是最好的老师;
一个商品发布能附带九张图片,发布时,每个商品都带够,
同时不要去使用其他电商平台的商品首图和带有水印文字的图片,这些图片会影响权重,商品曝光率很低;
我们在选择图片时,可以使用买家秀图片或者不带水印的商品副图,比较有吸引力;
首图上需要用心,可以自己使用美图秀秀或黄油相机在图片上添加文字(全新包邮),在首图下方印上你的闲鱼名称(闲鱼主要还是复购,印名字主要是让客户对我们加深印象)
买家秀,卖点 有疼点,实拍
定价的四种技巧
(1)非整数定价法:
价格设置尽量不要设置整数,如20元的东西,可以定在19.9;
(2)超低价玩法+邮费玩法
设置0.1元的价格,吸引用户点击进来查看宝贝,邮费可以设置9元或者12元;
(3)促销A+B法
相当于是做产品的促销活动,买一件30元,买两件50元,这样就会让用户觉得赚到了;
(4)捆绑法
两个商品一起销售,例如键盘搭配鼠标销售,定价设置为鼠标的价格,从价格上引诱客户点击我们的商品进行查看;
商品标签最简单,看下优秀同行商品都放有什么标签,
模仿操作就行;
尽量多放几个,引流效果也是不错的;
发布时间:
周末全天,工作日上午8:00-9:00 中午12:00-1:00 下午8:30-10:00
(这个是根据闲鱼用户活跃度判断的)
发货地是可以修改的,全新
(1).模仿同行,同行发到哪个城市你也发到那个城市,不要直接使用自己的地址;
(2).通过百度指数,查询你发布的商品,看哪个省份城市热度最高,以音箱为例
![图片[39]-2024年闲鱼最新玩法,保姆级教程-塔拉科技社](https://osscdn.talakj.cn/wp-content/uploads/2024/08/20240802231518114.png)
北京需求最高,深圳上海次之;
![图片[40]-2024年闲鱼最新玩法,保姆级教程-塔拉科技社](https://osscdn.talakj.cn/wp-content/uploads/2024/08/20240802231525163.png)
产品分类,大部分是产品的详细数据,尽量选完;
![图片[41]-2024年闲鱼最新玩法,保姆级教程-塔拉科技社](https://osscdn.talakj.cn/wp-content/uploads/2024/08/20240802231541756.png)
前期选品,上架算是迎合天时地利,
在产品上架后的运营算是人和
应该怎么做?
没事就刷刷闲鱼,增加每天闲鱼的在线时间;
每日签到,做每日任务赚闲鱼币;
现在闲鱼有个极速卖 (闲鱼币推广),
类似淘宝直通车一样的功能,但是不烧钱,只烧闲鱼币;
可以指定推广商品,
推广人数分为100.300.500,每人推广消费20闲鱼币,推广时间段可多选;
![图片[42]-2024年闲鱼最新玩法,保姆级教程-塔拉科技社](https://osscdn.talakj.cn/wp-content/uploads/2024/08/20240802231600716.png)
(1)打开新消息通知并善用自动回复
新消息通知:我的-右上角设置-新消息通知-全部开启
![图片[43]-2024年闲鱼最新玩法,保姆级教程-塔拉科技社](https://osscdn.talakj.cn/wp-content/uploads/2024/08/20240802231606191.png)
善用自动回复,大部分客户在购买前都会习惯性问一些简单问题,为了提升工作效率,把自动回复设置好;
![图片[44]-2024年闲鱼最新玩法,保姆级教程-塔拉科技社](https://osscdn.talakj.cn/wp-content/uploads/2024/08/20240802231620468.png)
(2).文字要有亲和力
这一点可以参考淘宝客服,模仿她们即可;
(3).注意规避违禁词
比如:
微信以及谐音字,同时也包括:v,vx,qq,QQ,手机号, 超过七位数的字母+数字,以及纯字母;
通过图片的形式也不行,闲鱼对于站外引流是零容忍的,不要知法犯法;
除此:客户主动找你所要联系方式,也要注意,有的同行恶意钓鱼执法,引诱你发违禁词,然后举报;
闲鱼一共能上50件商品,刚开始五天,每天上传10件商品;
到了第六天,把第一天的曝光较少的商品删掉五个,重新上架;
最有效提升曝光的方式就是坚持每天上新品!
客户拍下商品,立马点击重新上架,不能有任何修改,现在闲鱼管控比较严格,有一点改动商品就会被系统隐藏审核;
闲鱼搜索小黄鱼通过和别人互刷好评,把差评刷下去!
先去安全中心查看违规原因,如果是误判找客服申述;
如果出现重大违规永久封号,每个人都有一次申诉机会,只需要联系闲鱼人工客服,去手写申诉书,并保证不会下次再犯,一两个工作日系统就会给我们解封;
![图片[45]-2024年闲鱼最新玩法,保姆级教程-塔拉科技社](https://osscdn.talakj.cn/wp-content/uploads/2024/08/20240802231623609.png)
![图片[46]-2024年闲鱼最新玩法,保姆级教程-塔拉科技社](https://osscdn.talakj.cn/wp-content/uploads/2024/08/20240802231637868.png)
(1)联系天猫淘宝消费者热线:9510211
转接人工客服,让人工客服帮我们转接到闲鱼客服;
(2)打开手机淘宝-我的淘宝-官方客服-发送文字:转接人工客服(连续发三遍),连接人工客服后让她帮我们转接闲鱼客服;
把快递选择为其他,就可以了;
未发货客户申请退款,直接退给客户,上家那边也记得退回;
已发货,态度诚恳,告诉买家宝贝已经发货了,暂时不能退款;商品到货后,可以选择拒收
直接让他退货;
闲鱼这个项目能够持续几年有热度的存活这么久,背后肯定是有原因的。
它是最适合新手快速入门,快速上手的,因为它的特性:没有付费流量,流量平均分配。只要下点功夫,认真学习一些技巧,很快就能拿到结果。
另外新手在选择项目上,一定不要追风口,项目越老越稳定。
附个鸡汤:
想做一件事时,不愿意花时间亲自去测试,而是把时间用在到处问别人行不行上。
一个项目刚研究没几天,又听说另一个项目有人赚钱了。
总是怀疑自己做的事没前途,还是别人的项目能赚钱。
到头来,他掌握了 100 种赚钱方法……的皮毛。
18 般武艺,样样稀松。
青春不是用来看热闹的。
无论哪一行,无论是谁,凡是能比别人赚钱多,肯定也是比别人研究的更深。
如果你的资源贫乏,那么专注做好一件事将是你的唯一出路。
在自己最擅长的领域,投入比别人更多的努力和时间。先不用考虑赚钱,钱会来找你的。
但是这个过程并不容易,你常常会自我怀疑。还会有各种新鲜刺激的东西总是来诱惑你!
但是,你必须知道,自己目前还没有立足之地,站都站不稳的人,就算下期彩票的奖金有 1000 万,跟你也没有任何关系。















暂无评论内容